News And Activities
近日,卓立汉光官网新上线光谱色散计算工具,专为谱仪与线阵探测器的性能参数计算打造,能帮您高效解决核心计算需求。这款工具基于光栅方程进行理论计算,可快速输出关键性能参数,包括分辨率、光谱覆盖范围,以及光栅的色散能力。现开放至网页端,希望能为行业内有需要的研发及技术人员提供便利。
光谱色散计算工具使用说明
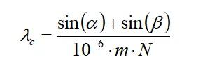
光栅方程如下

其中,m为衍射级次,N为光栅刻线(g/mm),α和β为光相对光栅的入射角和衍射角,λ为中心波长(nm)。
光谱参数计算
对这个工具做简要说明,打开网页后界面如下所示。左边是参数选择界面,包括谱仪和CCD,右边是计算结果显示区,默认显示使用提示。
在谱仪型号中,列出了卓立汉光所有型号的光谱仪,光谱仪型号上的数字基本代表了谱仪的焦距,焦距也是不同谱仪*直接的一个参数,选择后焦距项目会自动更新。
光栅刻线可以根据需要自行修改,甚至可以输入小数,当然负数是不允许的,不过计算时光栅刻线的数字可以随便输入,但是实际光栅的常用刻线基本都是整数,如150,300,600,1200,2400,3600等,其它刻线的光栅需要查询生产商提供的具体参数或咨询公司的销售人员提供可选项。
衍射级次这里默认为1,在使用光栅作为色散元件的谱仪中,基本都使用光栅的正1级作为使用波段,除非了解更改这个数值所发生的含义,否则请保持默认即可。
这里由用户输入,当谱仪型号是确定的,输入中心波长,它的入射角和衍射角是自动计算的,可以看到入射角和衍射角这两项是灰色不允许更改的。另外输入的中心波长的*大值受到光栅刻线的限制,注意下面的*大波长提示。
入射狭缝这里默认是10um,也即实际谱仪入射狭缝的保护缝,实际测量光谱分辨率时的入射宽度。
在CCD参数这里,对于搭配谱仪的色散计算,只需要CCD的像元尺寸和像元数两个参数即可。这里我们提供了卓立系列,常用andor系列和其它品牌CCD的选项,方便我们直接选择,当然这两个参数也可以根据实际参数进行修改。
选择好参数号,点击下面的“计算光谱参数”按钮,这里以谱仪型号omni-750i为例,相机选择卓立系列,DField-VS-A2,其它保持默认。计算结果如下所示,

上面的计算结果有6项:
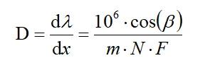
中心波长处线色散,主要体现了谱仪配合当前光栅在当前中心波长下的色散能力,由光栅方程延伸计算而来,它的定义为

中心位置处像素带宽,即是用像元大小乘以上面的D所得,代表了CCD一个像元上接收到的光,所覆盖的一个极窄波段。从D可以看出,不同衍射波长的衍射角不同,所以它的色散能力也不同,长波长的D要大于短波长的D,对于线阵CCD来说,这个中心波长处的线色散,也可以代表整个像元靶面上的平均线色散能力。
分辨率FWHM,谱仪对光的分辨能力来自于狭缝的不同波长的成像在CCD的不同位置上,根据瑞利判据,两个相邻的谱峰能区分开的依据是,1个谱峰的强度*大值位置处于另一个峰的强度*小值位置。FWHM(Full Width Half Maximum)半高全宽这个指标通常用来衡量谱仪的分辨率,它考虑了谱仪的入射狭缝宽度和光学系统的像差。根据我们生产调试谱仪的经验,以CCD像元作为单位来计算半高宽,这里取了3.5这个值,它的光谱宽度即为像素带宽乘以3.5。
这个分辨率值仅供参考,不同谱仪不同光栅甚至在不同波长下这个值都会有所波动。实际测量分辨率时所用的光源必须是发射线谱的校准光源或线宽极窄的激光。
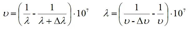
起始波长,终止波长和摄谱范围的定义为,当选定2000像元数的相机时,中心波长打在中间像素位置上,即第1000个像素。起始波长为第一个像素位置对应的波长,终止波长为第2000个像素对应的波长,摄谱范围即为终止波长减去起始波长。如何在已知中心波长的前提下计算相机第1个和*后1个像素的波长,对光栅方程做一些修正即可,参考以下公式,

式中,像元是像元大小,单位um,npixel是要计算的第几个像元的位置,注意中心波长对应的位置要定义为0,因此第一个像元的位置实际上为1-1000=-999,带入公式中计算得到对应的波长。
利用这个小工具的计算结果,可以快速评估使用不同谱仪搭配不同CCD的效果,方便做选型或计算参考。
光栅计算
在谱仪型号的*下面,有1个自定义,选择这个后,入射角,衍射角和中心波长即为可更改的状态。即使焦距和所用光栅是一样的,不同厂家的谱仪设计也是完全不同的,此时需要自行确认光栅方程中的几个关键参数,可以利用第2个标签页的光栅计算来进行。


如上所示,在求解参数选定后,这个参数被置灰,其它的参数则需要使用者确定,然后点击“计算光栅参数”即可得到待求解参数的值,这时将入射角,衍射角等值复制到光谱参数计算这个工具中,进行更详细的计算。
2025-12-03
2026-01-30
2026-01-27
2025-12-26
2025-12-17
Copyright © 2020 Zolix .All Rights Reserved 地址:北京市通州区中关村科技园区通州园金桥科技产业基地环科中路16号68号楼B.
ICP备案号:京ICP备05015148号-1
公安备案号:京公网安备11011202003795号

13810146393
在线咨询












