APPLICATION
近日,湖北工业大学马新国、程正旺教授课题组联合陕西师范大学潘明虎教授、江汉大学刘继延教授、文达大学Fhulufhelo Nemangwele等,在光电催化分解水制氢材料研究中取得重要进展,相关成果以“Synergistic Effect of Topological Semimetal TiSi and Plasmonic Cu for Enhanced Photoelectrocatalytic Water Splitting of TiO2 Nanorod Array”为题发表在国际知名期刊《Inorganic Chemistry》上。今天小卓为大家分享该研究成果,希望对您的科学研究或工业应用带来一些灵感和启发。
应用方向:光电催化、可见光分解水、清洁能源、拓扑材料、等离子体效应

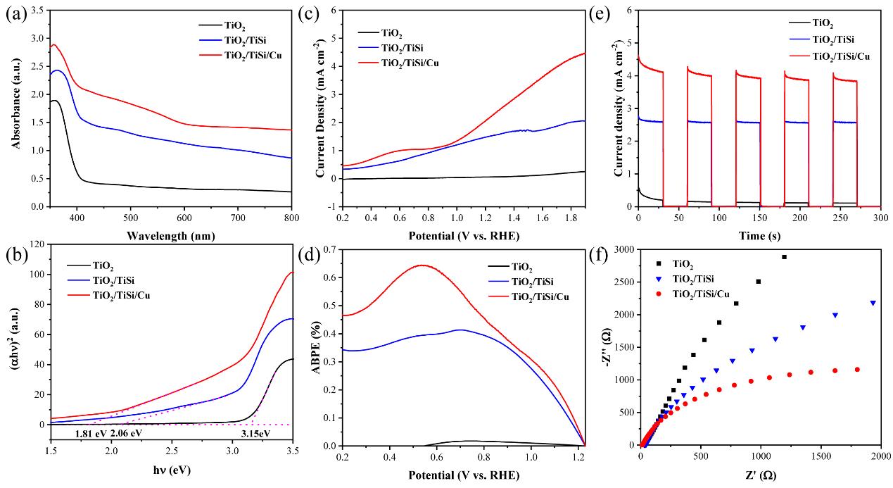
开发高效、稳定的光电催化材料是实现太阳能驱动水分解制氢的关键。湖北工业大学等单位的研究团队结合磁控溅射与真空热蒸发技术,在TiO2纳米棒阵列上依次沉积拓扑半金属TiSi薄膜与等离子体Cu纳米颗粒,构建出TiO2/TiSi/Cu复合光阳极。该结构充分利用TiSi的拓扑线性能带结构作为电子的高速传输通道,协同 Cu的表面等离子体共振(SPR)效应,共同增强光吸收、促进载流子分离与传输、延长载流子寿命,进而显著提升可见光驱动下的光电催化分解水性能。在>420 nm可见光照射下,TiO2/TiSi/Cu光阳极的光电流密度达到纯TiO2的17.84倍,并表现出优异的循环稳定性。这些结果不仅为TiO2基光阳极的性能优化提供了新思路,也为拓扑材料在能源催化领域的应用拓展了新的方向。

Figure 1. TiO2/TiSi/Cu光阳极的制备方法、晶相和界面.

Figure 2. TiO2, TiO2/TiSi和TiO2/TiSi/Cu纳米柱阵列的表界面形貌和纳米柱尺寸分布.

Figure 3. 吸光特性、光电流与阻抗.

Figure 4. 稳态与瞬态荧光谱.

Figure 5. 可见光条件下的产氢性能与循环稳定性.

Figure 6. 接触前后的能级位置和载流子传输机制.
关于此文章的更多细节请点击以下原文链接:
https://doi.org/10.1021/acs.inorgchem.5c00103
配置推荐
本文中TiO2/TiSi发光测试使用卓立汉光公司的OmniFluo990稳态瞬态荧光光谱仪完成。OmniFluo990为模块化搭建结构,通过搭配不同的光源、检测器和各类附件,为紫外/可见/近红外发光测试提供综合解决方案,也为光电催化分解水制氢催化剂的研发提供有利工具。

作者简历
程正旺,男,湖北工业大学副教授,博士,硕士生导师,湖北省科学技术厅入库专家、高新技术企业评审专家。致力于芯片设计、低维材料与器件、薄膜生长、表面物化等方面的研究,在新型异质结构筑、晶圆级均匀电子薄膜制备、压电/光电/铁电性能提升、新型电路架构等方面取得系列原创性成果。主持和参与国家自然科学基金、湖北省重点研发计划等10余项。主持的企业委托项目涉及射频滤波器、载板改性和封装机理等。在Nature Communications、Nano Letters、Ceramics International等国际高水平期刊发表SCI论文60余篇,担任十余个学术期刊编委或审稿人。湖北省高端芯片创新发展研究会、湖北省量子信息科学学会、中国化学会、中国材料研究学会等多个学会会员。获湖北省自然科学二等奖(2024年)、科创中国·湖北科技经济融合优秀项目二等奖(2024年)、首届企校协同创新大赛半导体领域专项赛二等奖(2023年)。
免责声明
北京卓立汉光仪器有限公司公众号所发布内容(含图片)来源于原作者提供或原文授权转载。文章版权、数据及所述观点归原作者原出处所有,北京卓立汉光仪器有限公司发布及转载目的在于传递更多信息及用于网络分享。
如果您认为本文存在侵权之处,请与我们联系,会第一时间及时处理。我们力求数据严谨准确, 如有任何疑问,敬请读者不吝赐教。我们也热忱欢迎您投稿并发表您的观点和见解。
Copyright © 2020 Zolix .All Rights Reserved 地址:北京市通州区中关村科技园区通州园金桥科技产业基地环科中路16号68号楼B.
ICP备案号:京ICP备05015148号-1
公安备案号:京公网安备11011202003795号

13810146393
在线咨询