APPLICATION
在光电半导体材料的研究中,光生载流子的微观动力学过程是决定其宏观光电性能的核心物理过程。光激发产生电子空穴对、以及其热平衡、弛豫冷却、复合、空间输运等过程,对材料的光电性质具有重要的影响。深入理解材料中的载流子动力学过程,对于设计高性能半导体光电器件具有至关重要意义。
近些年来,钙钛矿光电材料因其极其优异的光电性能和相对廉价的制造成本,在光伏、发光二极管(LED)、光探测器等领域受到了广泛关注,取得了飞速的发展1-4。以钙钛矿太阳能电池为例,经过短短十多年的技术迭代与创新,其能量转换效率已经超过了26%,可媲美于晶硅太阳能电池5。值得关注的是,这类通过溶液法制备的材料,理论上本应存在大量缺陷,但其高效光电转换的背后机制仍有待深入挖掘。因此,通过超快光谱学手段研究钙钛矿的载流子动力学,进而揭示其高效转换的物理本质,已成为该领域的核心研究方向。本文即以钙钛矿材料为对象,简述运用超快光谱学探索光电半导体材料微观机制的基本原理与技术方法。
(一)钙钛矿材料简介
钙钛矿材料一般指的是化学式为ABX3的一类材料,这类材料具有BX6正八面体结构和AX12立方堆积结构。当前在光电转换领域备受关注的钙钛矿材料,主要是卤族钙钛矿:其中 A 位为一价阳离子,涵盖有机阳离子(如甲铵离子 MA⁺、甲脒离子 FA⁺)与无机阳离子(如 Cs⁺、Rb⁺);B 位为金属阳离子,以 Pb²⁺、Sn²⁺*为常见;X 位为一价卤素阴离子,包括 Cl⁻、Br⁻、I⁻等。以 MAPbI₃铅卤钙钛矿为例,其具备理想光电转换材料的核心特性:作为直接带隙半导体,吸光系数高达 10⁴–10⁵ cm⁻¹;载流子有效质量小(0.10–0.15 m₀,m₀为电子静止质量)、迁移率高(1–100 cm²V⁻¹s⁻¹)、寿命长(10 ns–1 μs);载流子扩散长度可达 0.1–8 μm,且电子与空穴扩散能力均衡;缺陷态浓度低至 10¹⁰–10¹⁶ cm⁻³,为高效光电转换提供了优异基础6-8。然而,MAPbI₃的化学式构成复杂:单个晶胞中既含 Pb、I 等自旋耦合效应强的重元素,又包含以 C-H、N-H 键为主的有机 A 位阳离子,导致其载流子动力学过程远比传统 Si、GaAs 等光电体系复杂。下文将从载流子的产生、冷却、复合、输运四个关键环节,系统介绍如何通过超快光谱学手段解析其背后的物理机制。

图1、钙钛矿结构与光伏器件
(二)光吸收/激发态产生
在光伏、光探测器等光电器件中,光电半导体材料受光照射时,会通过吸收光子完成基态到激发态的跃迁 —— 无机半导体中表现为电子从价带跃迁至导带,有机半导体中则是激子从*高占据轨道(HOMO)跃迁至*低非占据轨道(LUMO),*终产生电子 - 空穴对或激子激发态。这一跃迁过程发生在亚飞秒时间尺度,远快于常用飞秒超快光谱技术的时间精度,因此在实验观测中可视为 “瞬时发生”。
对于钙钛矿材料,光子吸收后价带电子直接跃迁至导带,形成自由电子 - 空穴对,这一过程可通过瞬态吸收光谱直接捕捉:光激发瞬间会出现特征性光漂白(PB)信号,该信号本质是价带电子被大量抽空、导带被电子填充,导致材料对特定波长光的吸收能力下降。以 MAPbI₃为例,光谱中 480 nm 处的 PB1 峰与 760 nm 处的 PB2 峰,分别对应其基态下 VB2→CB 与 VB1→CB 的跃迁通道在飞秒激光泵浦后形成的漂白(图2) 7。值得注意的是,当激发功率提升时,材料内载流子浓度随之增加,导带底与价带顶的能级被载流子快速填充,导致原本的跃迁能量升高,表现为漂白峰向短波方向移动,即出现显著的 Burstein-Moss 效应(带填充效应)。这一现象也为量化钙钛矿中光生载流子浓度提供了直接的光谱表征依据9。

图2、MAPbI3的光吸收与激发态产生的瞬态吸收7
与有机半导体不同,钙钛矿的介电常数较大(~20–30),屏蔽效应显著,使得激子结合能通常较低(< 20 meV,但部分二维钙钛矿可达数百 meV)。在室温下,这一结合能小于热能(kBT ≈ 25 meV),因而大多数三维钙钛矿(如 MAPbI₃、CsPbI₃)在光激发后几乎立即形成自由电子与空穴,而非强束缚激子10。我们可以通过瞬态荧光技术(如条纹相机、超快荧光上转换等)确定其激发态是强束缚的激子还是自由电子-空穴。具体而言,通过激发瞬间(t=0)获得的荧光信号强度与激发光功率密度的依赖关系可以判断生成的激发态类型11, 12。对于强束缚的激子态,一个光子产生一个激子,激子中的束缚的电子-空穴对属于孪生(geminate),通过辐射复合产生荧光,其依赖关系应该为
,其中n为激发浓度。对于自由电子空穴(属于nongeminate),需要一个光子产生电子,另外一个光子产生空穴,电子空穴通过带底辐射复合产生荧光,其强度与激发浓度的依赖关系为:
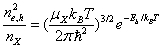
。从图3中可见,对于钙钛矿体系,在低激发浓度时,t=0时荧光强度与功率密度成平方关系,而在高强度时,接近线性关系,其反映的是激发态由自由电子空穴向激子态的过渡。因此,钙钛矿(以及其他任何光电半导体)中,其激发态类型不是一成不变的,而是和激发浓度紧密相关的。其中在一定激发浓度范围内,自由电子空穴和激子的比例可由Saha关系式来推导:
(1)
其中ne,nh, nX分别为电子,空穴及激子的浓度。mX为激子的有效质量,Eb为激子束缚能,kB和h分别为玻尔兹曼和普朗克常量。当然,实际半导体材料中,缺陷态以及高浓度下电荷屏蔽效应的可能同样会影响到激发浓度相关的荧光强度。

图3、钙钛矿材料中的激发态种类11
(三)载流子热平衡和冷却
激发光子能量通常高于钙钛矿带隙,因而初始激发态电子处于导带高能区。随后,电子–电子的弹性散射迅速发生,使电子分布趋近于热化的准费米分布,该过程通常发生的时间尺度约为几十飞秒,效率极高,导致高能电子快速热化。该分布的温度(Tc)高于晶格的温度(TL)。进一步,通过电子–声子、电子-缺陷态非弹性散射以及声子-声子散射过程,将电子的能量逐渐转移给晶格,使得二者的温度逐渐趋于一致(电子冷却)。该过程发生的时间尺度从几百fs到几百ps时间尺度,具体取决于散射过程的种类:
(1)与光学声子的散射
电子与高频光学声子相互作用,能量交换剧烈。在极性半导体中,通常以Fröhlich 散射(longitudinal optical, LO phonon scattering)形式为主,由极性晶体中纵光学声子振动产生的长程电场与电子相互作用,是钙钛矿中*主要的电子冷却通道13。
对于非极性半导体,以非极性光学声子散射(non-polar optical phonon scattering)能量交换局域,作用范围短。对于一些二维的钙钛矿材料,存在面外的X-Pb-X伸展振动,导致其电偶极矩变化为0,形成非极性光学声子散射14。
(2)与声学声子的散射
电子与晶格的低能量声学振动(acoustic phonons)相互作用,以形变势散射(deformation potential scattering)为主。这种散射主要改变电子动量,能量转移极小,可视为准弹性散射;其在低温环境下表现尤为突出,是限制材料低场载流子输运性能的核心因素。此外在无中心对称晶体里,声学振动引起极化场,可产生压电散射(piezoelectric scattering)。
通常热电子首先与高能量的光学声子发生散射,在几百fs-ps时间内快速的将能量传递给光学声子,电子迅速弛豫到接近带底;此时,能量较低的声学声子继续与电子发生散射,时间可持续几ps到几百ps。
在钙钛矿材料中,热电子的冷却过程可以通过飞秒瞬态吸收光谱学手段进行详细研究,其在瞬态光谱特征中表现为其光漂白(Photobleaching,PB)区域随着延迟时间增加,其高能量带尾不断消失的过程(图4)。在光激发的之后,由于存在大量的高能量热电子,导致带底以上的电子态同样被占据产生显著光漂白,因此,其PB区域为非对称的,通过麦克斯韦-玻尔兹曼近似拟合可以获取电子的平均温度:
(2)
可以发现,在适量激发浓度时,其电子温度能够在ps时间内迅速冷却至晶格温度,采用高能量的(3.1 eV)激发,其初始的电子温度(~1800 K)明显高于采用2.1 eV的低能量光子激发(~700 K)15。然而,在高激发浓度时,其热电子的冷却过程明显变缓,达到了几百ps,在一些低维的体系中甚至可以达到ns级别。该现象来源于热声子瓶颈效应(hot phonon bottleneck effect),即在高浓度激发下,大量的热电子释放出声子,导致声子出现非平衡分布,*终降低了系统热平衡速率。钙钛矿体系中,纵波光学(LO)声子和纵波声学(LA)声子之间的能量差比较大,从而使得通过Klemens渠道释放声子受阻,产生较为明显的热声子瓶颈效应,显著降低热载流子冷却速率16, 17。另外,热电子弛豫过程中也会产生光谱的显著位移,如在MAPbI3中由于热电子的较强的电场效应,导致其激发态跃迁发生明显红移,产生瞬态Stark 效应。随着热电子弛豫到带底,载流子电场大幅降低,红移快速恢复18。这些现象均可以用于对热电子动力学的探索,加深对其中电子与晶格相互作用的理解。

图4、钙钛矿材料中的热载流子弛豫15
(未完待续)
参考文献:
1. Green, M. A.; Ho-Baillie, A.; Snaith, H. J., The emergence of perovskite solar cells. Nature photonics 2014, 8 (7), 506-514.
2. Cao, Y.; Wang, N.; Tian, H.; Guo, J.; Wei, Y.; Chen, H.; Miao, Y.; Zou, W.; Pan, K.; He, Y., Perovskite light-emitting diodes based on spontaneously formed submicrometre-scale structures. Nature 2018, 562 (7726), 249-253.
3. Lin, K.; Xing, J.; Quan, L. N.; de Arquer, F. P. G.; Gong, X.; Lu, J.; Xie, L.; Zhao, W.; Zhang, D.; Yan, C., Perovskite light-emitting diodes with external quantum efficiency exceeding 20 per cent. Nature 2018, 562 (7726), 245-248.
4. Wang, H.; Kim, D. H., Perovskite-based photodetectors: materials and devices. Chemical Society Reviews 2017, 46 (17), 5204-5236.
5. Green, M. A.; Dunlop, E. D.; Yoshita, M.; Kopidakis, N.; Bothe, K.; Siefer, G.; Hao, X.; Jiang, J. Y., Solar cell efficiency tables (version 66). Progress in Photovoltaics 2025, 33 (NREL/JA--5900-94273).
6. Brenner, T. M.; Egger, D. A.; Kronik, L.; Hodes, G.; Cahen, D., Hybrid organic—inorganic perovskites: low-cost semiconductors with intriguing charge-transport properties. Nature Reviews Materials 2016, 1 (1), 1-16.
7. Xing, G.; Mathews, N.; Sun, S.; Lim, S. S.; Lam, Y. M.; Grätzel, M.; Mhaisalkar, S.; Sum, T. C., Long-range balanced electron-and hole-transport lengths in organic-inorganic CH3NH3PbI3. Science 2013, 342 (6156), 344-347.
8. Stranks, S. D.; Eperon, G. E.; Grancini, G.; Menelaou, C.; Alcocer, M. J.; Leijtens, T.; Herz, L. M.; Petrozza, A.; Snaith, H. J., Electron-hole diffusion lengths exceeding 1 micrometer in an organometal trihalide perovskite absorber. Science 2013, 342 (6156), 341-344.
9. Manser, J. S.; Kamat, P. V., Band filling with free charge carriers in organometal halide perovskites. Nature Photonics 2014, 8 (9), 737-743.
10. Miyata, A.; Mitioglu, A.; Plochocka, P.; Portugall, O.; Wang, J. T.-W.; Stranks, S. D.; Snaith, H. J.; Nicholas, R. J., Direct measurement of the exciton binding energy and effective masses for charge carriers in organic–inorganic tri-halide perovskites. Nature Physics 2015, 11 (7), 582-587.
11. Saba, M.; Cadelano, M.; Marongiu, D.; Chen, F.; Sarritzu, V.; Sestu, N.; Figus, C.; Aresti, M.; Piras, R.; Geddo Lehmann, A., Correlated electron–hole plasma in organometal perovskites. Nature communications 2014, 5 (1), 5049.
12. D’innocenzo, V.; Grancini, G.; Alcocer, M. J.; Kandada, A. R. S.; Stranks, S. D.; Lee, M. M.; Lanzani, G.; Snaith, H. J.; Petrozza, A., Excitons versus free charges in organo-lead tri-halide perovskites. Nature communications 2014, 5 (1), 3586.
13. Wright, A. D.; Verdi, C.; Milot, R. L.; Eperon, G. E.; Pérez-Osorio, M. A.; Snaith, H. J.; Giustino, F.; Johnston, M. B.; Herz, L. M., Electron–phonon coupling in hybrid lead halide perovskites. Nature communications 2016, 7 (1), 11755.
14. Guo, Z.; Wu, X.; Zhu, T.; Zhu, X.; Huang, L., Electron–phonon scattering in atomically thin 2D perovskites. ACS nano 2016, 10 (11), 9992-9998.
15. Yang, Y.; Ostrowski, D. P.; France, R. M.; Zhu, K.; Van De Lagemaat, J.; Luther, J. M.; Beard, M. C., Observation of a hot-phonon bottleneck in lead-iodide perovskites. Nature Photonics 2016, 10 (1), 53-59.
16. Fu, J.; Xu, Q.; Han, G.; Wu, B.; Huan, C. H. A.; Leek, M. L.; Sum, T. C., Hot carrier cooling mechanisms in halide perovskites. Nature communications 2017, 8 (1), 1-9.
17. Fu, J.; Ramesh, S.; Melvin Lim, J. W.; Sum, T. C., Carriers, quasi-particles, and collective excitations in halide perovskites. Chemical reviews 2023, 123 (13), 8154-8231.
18. Trinh, M. T.; Wu, X.; Niesner, D.; Zhu, X.-Y., Many-body interactions in photo-excited lead iodide perovskite. Journal of Materials Chemistry A 2015, 3 (17), 9285-9290.